NEET-XII-Chemistry
P1 year:2019
Important Instructions :
-1. The test is of 3 hours duration and Test Booklet contains 180 questions. Each question carries 4 marks. For each correct response, the candidate will get 4 marks. For each incorrect response, one
mark will be deducted from the total scores. The maximum marks are 720.
2. Use Blue / Black Ball point Pen only for writing particulars on this page/marking responses.
3. Rough work is to be done on the space provided for this purpose in the Test Booklet only.
4. On completion of the test, the candidate must handover the
Answer Sheet to the Invigilator before leaving
the Room / Hall. The candidates are allowed to take away this Test Booklet with them.
5. The CODE for this Booklet is P1.
6. The candidates should ensure that the
Answer Sheet is not folded. Do not make any stray marks on the
Answer Sheet. Do not write your Roll No. anywhere else except in the specified space in the Test Booklet/Answer Sheet.
7. Each candidate must show on demand his/her Admission Card to the Invigilator.
8. No candidate, without special permission of the Superintendent or Invigilator, would leave his/her seat.
9. Use of Electronic/Manual Calculator is prohibited.
10. The candidates are governed by all Rules and Regulations of the examination with regard to their conduct
in the Examination Hall. All cases of unfair means will be dealt with as per Rules and Regulations of this
examination.
11. No part of the Test Booklet and
Answer Sheet shall be detached under any circumstances.
12. The candidates will write the Correct Test Booklet Code as given in the Test Booklet/Answer Sheet in the Attendance Sheet.
DATE : 05/05/2019 Test Booklet Code P1
Time : 3 hrs. Max. Marks : 720
1. When a block of mass M is suspended by a long
wire of length L, the length of the wire
becomes (L + l). The elastic potential energy
stored in the extended wire is :
(1) Mgl
(2) MgL
(3)``\frac12 Mgl ``
(4)``\frac12 MgL ``
Ans. ( 3 )
Sol.

U = ``\frac12 `` (work done by gravity)
U = ``\frac12 ``Mgl
2. A mass m is attached to a thin wire and
whirled in a vertical circle. The wire is most
likely to break when:
(1) the mass is at the highest point
(2) the wire is horizontal
(3) the mass is at the lowest point
(4) inclined at an angle of 60° from vertical
Ans. ( 3 )
Sol.

``T -mg = \frac{mu^2}{L}``
``T = mg + \frac{mu^2}{L}``
The tension is maximum at the lowest
position of mass, so the chance of breaking is
maximum.
3. Ionized hydrogen atoms and α-particles with
same momenta enters perpendicular to a
constant magnetic field, B. The ratio of
their radii of their paths
``r_H : r_\alpha`` will be :
(1) 2 : 1
(2) 1 : 2
(3) 4 : 1
(4) 1 : 4
Ans. ( 1 )
Sol.
``r_H = \frac{p}{eB}`` and ``r_\alpha = \frac{p}{2eB}``
on simplification, we get 2:1
4. Body A of mass 4m moving with speed u
collides with another body B of mass 2m, at
rest. The collision is head on and elastic in
nature. After the collision the fraction of
energy lost by the colliding body A is :
(1)``\frac19``
(2)``\frac89``
(3)``\frac49``
(4)``\frac59``
Ans. ( 2 )
Sol. Fractional loss of KE of colliding body
``\frac{\Delta KE}{KE} = \frac{4m_1m_2}{(m_1 + m_2)^2}``
On substitution ``m_1= 4m, m_2 = 2m``
= ``\frac{4.4m.2m }{ (4m+2m)^2} = \frac{32}{36}= \frac89``
5. In a double slit experiment, when light of
wavelength 400 nm was used, the angular
width of the first minima formed on a screen
placed 1 m away, was found to be 0.2°. What
will be the angular width of the first minima,
if the entire experimental apparatus is immersed
in water? (``μ_{water}
= \frac43``)
(1) 0.266°
(2) 0.15°
(3) 0.05°
(4) 0.1°
Ans. (2)
Sol. In air angular fringe width
``\theta_0 = {\beta}{D}``
Angular fringe width in water
``\theta_w = {\beta}{\mu D}``
``= \frac{0.2}{\frac{4}{3} } = {0.15}^{°}``
6. In which of the following devices, the eddy
current effect is not used?
(1) Induction furnace
(2) Magnetic braking in train
(3) Electromagnet
(4) Electric heater
Ans. ( 4 )
Sol. Electric heater does not involve Eddy
currents. It uses Joule's heating effect.
7. A soap bubble, having radius of 1 mm, is
blown from a detergent solution having a
surface tension of ``2.5 × 10^{-2}`` N/m.
The pressure inside the bubble equals at a
point ``Z_0`` below the
free surface of water in a container. Taking
``g = 10 m/s^2``, density of water = ``10^3 kg/m^3``,
the value of ``Z_0`` is :
(1) 100 cm
(2) 10 cm
(3) 1 cm
(4) 0.5 cm
Ans. ( 3 )
Sol. Excess pressure =
`` \frac{4T}{R} ``
Gauge pressure
=`` ρgZ_0``
``P_0 + \frac{4T}{R} = P_o + ρgZ_0``
Hence ``\rho_0 = \frac{4T}{R ρ g}``
``Z_0 = \frac{4 \times\ 2.5 \times 10^{-2} }{10^{-3} \times 1000 \times 10 } ``
= 1 cm.
8. Which colour of the light has the longest
wavelength?
(1) Red
(2) Blue
(3) Green
(4) Violet
Ans. ( 1 )
Sol. Red has the longest wavelength among the
given options.
9. A disc of radius 2 m and mass 100 kg rolls on
a horizontal floor. Its centre of mass has speed
of 20 cm/s. How much work is needed to stop
it?
(1) 3 J
(2) 30 kJ
(3) 2 J
(4) 1 J
Ans. ( 1 )
Sol. Work required = change in kinetic energy
Final KE = 0
Initial KE = ``\frac12 mv^2 + \frac12 I {\omega}^2 = frac34 mv^2``
= ``\frac34 \times 100 \times (20 \times 10^{-2})^2 = 3J ``
|``\triangle `` KE| = 3 J
10. The displacement of a particle executing
simple harmonic motion is given by
``y = A_0 + Asinωt + Bcosωt``
Then the amplitude of its oscillation is given
by :
(1) ``A_0 + \sqrt{A^2 + B^2}``
(2) ``\sqrt{A^2 + B^2}``
(3) `` \sqrt{ A_0^2 +(A + B)^2}``
(4) A + B
Ans. ( 2 )
Sol. B

y = ``A_0 + Asinωt + Bsinωt``
Equate SHM
``y' = y - A_0 = Asinωt + Bcosωt``
Resultant amplitude
``R= \sqrt{(A^2+B^2 + 2ABcos90)}``
= ``\sqrt{A^2 + B^2}``
11. Two similar thin equi-convex lenses, of focal
length f each, are kept coaxially in contact
with each other such that the focal length of
the combination is ``F_1``. When the space
between the two lenses is filled with
glycerine (which has the same refractive index
(μ = 1.5) as that of glass) then the equivalent
focal length is ``F_2``. The ratio ``F_1:F_2``
will be :
(1) 2 : 1
(2) 1 : 2
(3) 2 : 3
(4) 3 : 4
Ans. ( 2 )
Sol.
Equivalent focal length in air =
``\frac1F_1 = \frac1f + \frac1f = frac2f``

When glycerin is filled inside, glycerin lens
behaves like a diverging lens of focal length (-f)=``\frac1F_2 = \frac1f + \frac1f- \frac1f= frac1f``
therefore ``\frac{F_1}{F_2}=\frac12``
12. Increase in temperature of a gas filled
in a container would lead to :
(1) Increase in its mass
(2) Increase in its kinetic energy
(3) Decrease in its pressure
(4) Decrease in intermolecular distance
Ans. ( 2 )
Sol. Increase in temperature would lead to the
increase in kinetic energy of gas (assuming
far as to be ideal) as U= ``\frac F2 nRT``
13. An electron is accelerated through a potential
difference of 10,000 V. Its de Broglie
wavelength is, (nearly) : (``m_e = 9 × 10^{-31}`` kg)
(1) ``12.2 × 10^{-13}`` m
(2) ``12.2 × 10^{-12}`` m
(3) ``12.2 × 10^{-14}`` m
(4) 12.2 nm
Ans. ( 2 )
Sol. For an electron accelerated through a
potential V,
``\lambda``=``\frac{12.27} {\sqrt v}`` Å= ``\frac{12.27 X 10^{-10} }{\sqrt 10000}``=``12.27 X 10 ^{-12} ``m
14. A copper rod of 88 cm and an aluminium rod of
unknown length have their increase
in length independent of increase in
temperature. The length of aluminium rod is :
(``Α_{Cu}
= 1.7 × 10^{-5} K^{-1}`` and ``α_{
Al}= 2.2 × 10^{-5} K^{-1}``)
(1) 6.8 cm
(2) 113.9 cm
(3) 88 cm
(4) 68 cm
Ans. ( 4 )
Sol. ``α_{cu} L_{cu}= α_{AL} L_{AL}``
``1.7 × 10^{-5} × 88 cm = 2.2 × 10^{-5} × L_{AL}``
``L_ {AL}``=``\frac {1.7 X 88}{2.2}``
=68 cm
15. Pick the wrong Ans. in the context with
rainbow.
(1) When the light rays undergo two internal
reflections in a water drop, a secondary
rainbow is formed
(2) The order of colours is reversed in the
secondary rainbow
(3) An observer can see a rainbow when his
front is towards the sun
(4) Rainbow is a combined effect of dispersion
refraction and reflection of sunlight
Ans. ( 3 )
Sol. Rainbow can't be observed when observer
faces towards sun.
16. A body weighs 200 N on the surface of the
earth. How much will it weigh half way down
to the centre of the earth ?
(1) 150 N
(2) 200 N
(3) 250 N
(4) 100 N
Ans. ( 4 )
Sol.
d
g'
R
C
g
Acceleration due to gravity at a depth d from
surface of earth
' =
d
g g 1 ...(1)
R
Where g = acceleration due to gravity at
earth's surface
Multiplying by mass 'm' on both sides of (1)5
' =
d
mg mg 1
R
=
R
d
2
= = =
R 200
200 1 100N
2R 2
17. Six similar bulbs are connected as shown in
the figure with a DC source of emf E and zero
internal resistance.

The ratio of power consumption by the bulbs
when
(i ) all are glowing and
(ii) in the situation
when two from section A and one from section
B are glowing, will be :
(1) 4 : 9
(2) 9 : 4
(3) 1 : 2
(4) 2 : 1
Ans. ( 2 )
Sol. (i) All bulbs are glowing
RR
RR
RR
E
= + =
eq
R R 2R
R
3 3 3
= =
2 2
i
eq
E 3E
Power (P) ...(1)
R 2R
(ii) Two from section A and one from section
B are glowing.
E
R
R
R
= + =
eq
R 3R
R R
2 2
=
2
f
2E
Power (P ) ...(2)
3R
= =
2
i
2
f
P 3E 3R
9 : 4
P 2R 2E
18. For a p-type semiconductor, which of the
following statements is true ?
(1) Electrons are the majority carriers and
trivalent atoms are the dopants.
(2) Holes are the majority carriers and
trivalent atoms are the dopants.
(3) Holes are the majority carriers and
pentavalent atoms are the dopants.
(4) Electrons are the majority carriers and
pentavalent atoms are the dopants.
Ans. ( 2 )
Sol. In p-type semiconductor, an intrinsic
semiconductor is doped with trivalent
impurities, that creates deficiencies of
valence electrons called holes which are
majority charge carriers.
19. Average velocity of a particle executing SHM in
one complete vibration is :
(1)``\frac{ωA}{2}``
(2) Aω
(3)``\frac{ω2A}{2}``
(4) Zero
Ans. ( 4 )
Sol. In one complete vibration, displacement is
zero. So, average velocity in one complete
vibration
f i
y yDisplacement
0
Time interval T
= = =
20. The unit of thermal conductivity is :
(1) ``J m K^{-1}``
(2) ``J m^{-1} K^{-1}``
(3) ``W m K^{-1}``
(4) ``W m^{-1} K^{-1}``
Ans. ( 4 )
Sol. The heat current related to difference of
temperature across the length l of a
conductor of area A is
= ▵
dH KA
T
dt
(K = coefficient of thermal
conductivity)
∴
dH
K
A dt T
=
▵
Unit of K = Wm-1 K-1
6
21. A solid cylinder of mass 2 kg and radius 4 cm
rotating about its axis at the rate of 3 rpm.
The torque required to stop after 2
revolutions is
(1) ``2 × 10^{{-6}}`` N m
(2) ``2 × 10^{-3}`` N m
(3) ``12 × 10^{-4}`` N m
(4) ``2 × 10^6`` N m
Ans. ( 1 )
Sol. Work energy theorem.
2 2
f i
1
W I( )
2
= ω ω = 2 revolution
= 2 × 2 = 42 rad
i
2
W 3 rad / s
60
=
2 2 2
i
1 1
- mr (0 )
2 2
&implies; = ω
&implies; =
2
2
2
1 1 2
2 (4 10 ) 3
2 2 60
-
4
6
2 10 Nm
&implies; =
22. A force F = 20 + 10 y acts on a particle in y-
direction where F is in newton and y in meter.
Work done by this force to move the particle
from y = 0 to y = 1 m is
(1) 30 J
(2) 5 J
(3) 25 J
(4) 20 J
Ans. ( 3 )
Sol. Work done by variable force is
f
i
y
y
W Fdy=
Here, y
i
= 0, y
f
= 1 m
∴
1
1 2
0
0
10y
W (20 10y)dy 20y
2
= + = +
= 25 J
23. Which of the following acts as a circuit
protecting device?
(1) Conductor
(2) Inductor
(3) Switch
(4) Fuse
Ans. ( 4 )
Sol. Fuse wire has less melting point so when
excess current flows, due to heat produced
in it, it melts.
24. In the circuits shown below, the readings of
voltmeters and the ammeters will be

Circuit 2
(1) ``V_2 > V_1 `` and `` i_1 = i_2``
(2) ``V_2 = V_1 `` and ``i_1 > i_2``
(3) ``V_2 = V_1`` and ``i_1 = i_2``
(4) ``V_2 > V_1`` and ``i_1 > i_2``
Ans. ( 3 )
Sol. For ideal voltmeter, resistance is infinite and
for the ideal ammeter, resistance is zero.
1 1
10
V i 10 10 10 volt
10
= = =
2 2
10
V i 10 10 10 volt
10
= = =
V
1
= V
2
1 2
10 V
i i 1 A
10
= = =
25. A hollow metal sphere of radius R is uniformly
charged. The electric field due to the sphere
at a distance r from the centre
(1) Increases as r increases for `` r < R`` and for
``r > R``
(2) Zero as r increases for `` r < R``, decreases as
r increases for `` r > R``
(3) Zero as r increases for `` r < R``, increases as
r increases for ``r > R``
(4) Decreases as r increases for `` r < R`` and for
``r > R``
Ans. ( 2 )
Sol.
C
R
++
+
+
+
+ +
+
r
Q
Charge Q will be distributed over the surface
of hollow metal sphere.
(i) For r < R (inside)
By Gauss law,
en
in
0
q
E · dS 0= =
&implies; E
in
= 0 =∵
en
( q 0)
(ii) For r > R (outside)
++
+
+
+
+ +
+
r
0 2
1
E
r
E = 0
in
E
R
r
O
en
0
0
q
E · dS =
Here, q
en
= Q =∵
en
( q Q)
∴ 2
0
0
Q
E 4 r =
∴
0 2
1
E
r
26. At a point A on the earth’s surface the
angle of dip, ``δ`` = +25°. At a point
B on the earth’s surface the angle of dip, ``δ``
= -25°. We can interpret that:
(1) A and B are both located in the northern
hemisphere.
(2) A is located in the southern hemisphere
and B is located in the northern
hemisphere.
(3) A is located in the northern hemisphere
and B is located in the southern
hemisphere.
(4) A and B are both located in the southern
hemisphere.
Ans. ( 3 )
Sol. Angle of dip is the angle between earth's
resultant magnetic field from horizontal. Dip
is zero at equator and positive in northern
hemisphere.
BV
BH
δ = (+) ve
B
B
V B
B
H
δ = (-) ve
In southern hemisphere dip angle is
considered as negative.
27. The total energy of an electron in an atom in
an orbit is -3.4 eV. Its kinetic and potential
energies are, respectively:
(1) -3.4 eV, -3.4 eV
(2) -3.4 eV, -6.8 eV
(3) 3.4 eV, -6.8 eV
(4) 3.4 eV, 3.4 eV
Ans. ( 3 )
Sol. In Bohr's model of H atom
∴
U
K.E. TE
2
= =
∴ K.E. = 3.4 eV
U = -6.8 eV
28. In total internal reflection when the angle of
incidence is equal to the critical angle for the
pair of media in contact, what will be angle of
refraction?
(1) 180°
(2) 0°
(3) Equal to angle of incidence
(4) 90°
Ans. ( 4 )
Sol.
90°
iC
At i = i
c
, refracted ray grazes with the
surface.
So angle of refraction is 90°.
8
29. The work done to raise a mass m from the
surface of the earth to a height h, which is
equal to the radius of the earth, is:
(1) mgR
(2) 2mgR
(3) ½mgR
(4)``\frac32``mgR
Ans. ( 3 )
Sol.
h = R
RM
Initial potential energy at earths surface is
=
i
GMm
U
R
Final potential energy at height h = R
=
f
GMm
U
2R
As work done = Change in PE
∴ W = U
f
- U
i
= = =
2
GMm gR m mgR
2R 2R 2
(∵GM = gR
2)
30. When an object is shot from the bottom of a
long smooth inclined plane kept at an angle 60°
with horizontal, it can travel a distance ``x_1``
along the plane. But when the inclination is
decreased to 30° and the same object is shot
with the same velocity, it can travel ``x_2``
distance. Then ``x_1 : x_2`` will be:
(1) 1 : ``\sqrt2``
(2) ``\sqrt2`` : 1
(3) 1 : ``\sqrt3``
(4) 1 : 2``\sqrt3``
Ans. ( 3 )
Sol.
60°
g sin60°
30°
g sin30°
u
u
(Stopping distance) =
2
1
u
x
2gsin60
(Stopping distance) =
2
2
u
x
2gsin30
&implies;
= = =
1
2
x sin30 1 2
1: 3
x sin60 2 3
31. α-particle consists of :
(1) 2 protons and 2 neutrons only
(2) 2 electrons, 2 protons and 2 neutrons
(3) 2 electrons and 4 protons only
(4) 2 protons only
Ans. ( 1 )
Sol. α-particle is nucleus of Helium which has two
protons and two neutrons.
32. The speed of a swimmer in still water is
20 m/s. The speed of river water is 10 m/s and
is flowing due east. If he is standing on the
south bank and wishes to cross the river along
the shortest path the angle at which he should
make his strokes w.r.t. north is given by :
(1) 30° west
(2) 0°
(3) 60° west
(4) 45° west
Ans. ( 1 )
Sol.
SR
RG
V 20 m/s
V 10 m/s
=
=
V
SG
N
S
W E
V
SR
V
RG
= +
SG SR RGV V V
=
RG
SR
V
sin
V
= 10sin
20
= 1sin
2
= 30° west9
33. A particle moving with velocity ``\vec{V}``
is acted by three forces shown by the vector
triangle PQR.
The velocity of the particle will :

(1) Increase
(2) Decrease
(3) Remain constant
(4) Change according to the smallest force ``\vec{QR}``
Ans. ( 3 )
Sol.
P
R Q
As forces are forming closed loop in same
order
So, =netF 0
&implies; =dvm 0
dt
&implies; =v constant
34. Two particles A and B are moving in uniform
circular motion in concentric circles of radii
``r_A`` and ``r_B`` with speed ``v_A`` and ``v_B``
respectively. Their time period of rotation is
the same. The ratio of
angular speed of A to that of B will be :
(1) ``r_A : r_B``
(2)``v_A : v_B``
(3)``r_B : r_A``
(4) 1 : 1
Ans. ( 4 )
Sol.
rA
r
B
T
A
= T
B
= T
ω =
A
A
2
T
ω =
B
B
2
T
ω
= = =
ω
A B
B A
T T
1
T T
35. A block of mass 10 kg is in contact against the
inner wall of a hollow cylindrical drum of
radius 1 m. The coefficient of friction between
the block and the inner wall of the cylinder is
0.1. The minimum angular velocity needed for
the cylinder to keep the block stationary when
the cylinder is vertical and rotating about its
axis, will be : (g = ``10m/s^2`` )
(1) ``\sqrt10`` rad/s
(2)``\frac {10}{2\pi} rad/s``
(3) 10 rad/s
(4) 10 ``\pi`` rad/s
Ans. ( 3 )
Sol.
N mrω2
f
L
mg
For equilibrium of the block limiting friction
f
L
≥ mg
&implies; μN ≥ mg
&implies; μmrω2 ≥ mg
ω≥
μ
g
r
ω =
μmin
g
r
ω =
min
10
0.1 1
= 10 rad/s
36. Two parallel infinite line charges with linear
charge densities +``\lambda`` C/m and -``\lambda`` C/m are
placed at a distance of 2R in free space. What
is the electric field mid-way between the two
line charges?
(1) Zero
(2)``\frac{2\lambda}{\pi\varepsilon _0 R}`` N/C
(3)``\frac{\lambda}{\pi\varepsilon _0 R}``N/C
(4)``\frac{\lambda}{2\pi\varepsilon _0 R}``N/C
Ans. ( 3 )
Sol. -
-
-
-
-
-
-
-
-
-
+
+
+
+
+
+
+
+
-+
(1)(2)
R E2
E
1
X-X
Electric field due to line charge (1)
=
1
0
ˆE i N /C
2 R
Electric field due to line charge (2)
=
2
0
ˆE i N /C
2 R
= +
net 1 2
E E E
=
+
0 0
ˆ ˆi i
2 R 2 R
=
0
î N /C
R
37. Two point charges A and B, having charges +Q
and -Q respectively, are placed at certain
distance apart and force acting between them
is F. If 25% charge of A is transferred to B,
then force between the charges becomes :
(1) F
(2)``\frac {9F}{16}``
(3)``\frac {16F}{9}``
(4)``\frac {4F}{3}``
Ans. ( 2 )
Sol.
A B
r
+Q -Q
2
2
kQ
F
r
=
If 25% of charge of A transferred to B then
= = = + =
A B
Q 3Q Q 3Q
q Q and q Q
4 4 4 4
r
q
A
q
B
A B
1 2
kq q
F
r
=
2
1 2
3Q
k
4
F
r
=
1 2
9 kQ
F
16 r
=
1
9F
F
16
=
38. A small hole of area of cross-section 2`` mm^2`` is
present near the bottom of a fully filled open
tank of height 2 m. Taking g = 10 m/``s^2``, the rate
of flow of water through the open hole would
be nearly
(1) 12.6 × ``10^{-6} m^3/s``
(2) 8.9 × ``10^{-6} m^3/s``
(3) 2.23 × ``10^{-6} m^3/s``
(4) 6.4 × ``10^{-6} m^3/s``
Ans. ( 1 )
Sol.
2 m
a = 2 mm
2
Rate of flow liquid
= =Q au a 2gh
= 6 22 10 m 2 10 2 m/s
= 2 × 2 × 3.14 × 10-6 m3/s
= 12.56 × 10-6 m3/s
= 12.6 × 10-6 m3/s
39.

The correct Boolean operation represented by
the circuit diagram drawn is :
(1) AND
(2) OR
(3) NAND
(4) NOR
Ans. ( 3 )
Sol. From the given logic circuit LED will glow,
when voltage across LED is high.
R
+6 V
B
A
Truth Table
A
0
0
1
1
B
0
1
0
1
Y
1
1
1
0
This is out put of NAND gate.
40. In which of the following processes, heat is
neither absorbed nor released by a system?
(1) Isothermal
(2) Adiabatic
(3) Isobaric
(4) Isochoric
Ans. ( 2 )
Sol. In adiabatic process, there is no exchange of
heat.
41. A 800 turn coil of effective area
0.05 ``m^2 ``is kept perpendicular to a magnetic
field 5 × ``10^{-5}`` T. When the plane of the coil
is rotated by 90° around any of its coplanar axis in
0.1 s, the emf induced in the coil will be:
(1) 2 V
(2) 0.2 V
(3) 2 × ``10^{-3} V
(4) 0.02 V
Ans. ( 4 )
Sol. Magnetic field B = 5 × 10-5 T
Number of turns in coil N = 800
Area of coil A = 0.05 m2
Time taken to rotate ▵t = 0.1 s
Initial angle
1
= 0°
Final angle
2
= 90°
Change in magnetic flux ▵
= NBAcos90° - BAcos0°
= - NBA
= - 800 × 5 × 10-5 × 0.05
= - 2 × 10-3 weber
▵=
▵
e -
t
= =
3( )2 10 Wb
0.02 V
0.1 s
42. The radius of circle, the period of revolution,
initial position and sense of revolution are
indicated in the fig.

y - projection of the radius vector of rotating
particle P is :
(1) y(t) = -3 cos2``\pi``t, where y in m
(2) y(t) = 4 sin``\frac {(\Pi t)}{2}``, where y in m
(3) y(t) = 3 cos``\frac {(3\Pi t)}{2}``, where y in m
(4)3 cos``\frac {(\Pi t)}{2}``, where y in m
Ans. ( 4 )
Sol. At t = 0, y displacement is maximum, so
equation will be cosine function.
y
P t = 0
T = 4 s
x
T = 4 s
ω = = =2 2 rad/s
T 4 2
y = a cosωt
=y 3cos t
2
12
43. A parallel plate capacitor of capacitance 20 μF
is being charged by a voltage source whose
potential is changing at the rate of 3 V/s. The
conduction current through the connecting
wires, and the displacement current through
the plates of the capacitor, would be,
respectively.
(1) Zero, 60 μA
(2) 60 μA, 60 μA
(3) 60 μA, zero
(4) Zero, zero
Ans. ( 2 )
Sol. Capacitance of capacitor C = 20 μF
= 20 × 10-6 F
Rate of change of potential
=
dV
3 v/s
dt
q = CV
=dq dVC
dt dt
i
c
= 20 × 10-6 × 3
= 60 × 10-6 A
= 60 μA
As we know that i
d
= i
c
= 60 μA
44. In an experiment, the percentage of error
occurred in the measurement of physical
quantities A, B, C and D are 1%, 2%, 3% and 4%
respectively. Then the maximum percentage of
error in the measurement X,
where X =``\frac {A^2B^{\frac12}}{C^{\frac12}D^3}`` will be
(1) (``\frac{3}{13}``)%
(2) 16%
(3) - 10%
(4) 10%
Ans. ( 2 )
Sol. Given
=
1
2 2
1
33
A B
x
C D
% error,
▵ ▵ ▵ = + x A 1 B100 2 100
x A 2 B
▵ ▵+ + 1 c D100 100 3 100
3 c D
= + + + 1 12 1% 2% 3% 3 4%
2 3
= + + +2% 1% 1% 12%
= 16%
45. A cylindrical conductor of radius R is carrying
a constant current. The plot of the magnitude
of the magnetic field. B with the distance d
from the centre of the conductor, is correctly
represented by the figure :
(1)

(2)

(3)

(4)

Ans. ( 3 )
Sol.
d
B
R dO
Inside (d < R)
Magnetic field inside conductor
μ=
0
2
i
B d
2 R
or B = Kd ...(i)
Straight line passing through origin
At surface (d = R)
μ=
0 i
B
2 R
...(ii)
Maximum at surface
Outside (d > R)
μ=
0 i
B
2 d
or 1B (Hyperbolic)
d13
46. The number of sigma (``\sigma``) and pi (``\pi``) bonds in
pent-2-en-4-yne is
(1) 10 ``\sigma`` bonds and 3``\pi`` bonds
(2) 8 ``\sigma``bonds and 5``\pi`` bonds
(3) 11 ``\sigma`` bonds and 2``\pi`` bonds
(4) 13``\sigma`` bonds and no ``\pi`` bonds
Ans. ( 1 )
Sol. H - C - C = C - C C - H
H
H H
H
Number of bonds = 10
and number of bonds = 3
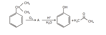
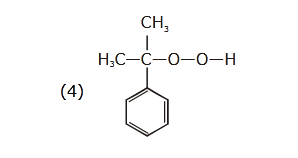
47. The structure of intermediate A in the
following reaction, is

(1)

(2)

(3)

(4)

Ans. ( 4 )
Sol.
CH
CH
3
CH
3
O2 H
+
H O2
OH
+ H C - C -CH3 3
O
H C - C - O - O - H3
CH
3
(A)
Cumene
hydroperoxide
Cumene
48. The correct structure of tribromooctaoxide is
(1)

(2)

(3)

(4)

Ans. ( 1 )
Sol. The correct structure is
O = Br - Br - Br = O
O
O
O
O
O
O
Tribromooctaoxide
49. 4d, 5p, 5f and 6p orbitals are arranged in the
order of decreasing energy. The correct
option is
(1) 5f > 6p > 5p > 4d
(2) 6p > 5f > 5p > 4d
(3) 6p > 5f > 4d > 5p
(4) 5f > 6p > 4d > 5p
Ans. ( 1 )
Sol. (n + l) values for, 4d = 4 + 2 = 6
5p = 5 + 1 = 6
5f = 5 + 3 = 8
6p = 6 + 1 = 7
∴ Correct order of energy would be
5f > 6p > 5p > 4d
50. Which of the following reactions are
disproportionation reaction?
(a )`` 2Cu^+ \longrightarrow`` ``Cu^{2+} + Cu^0``
(b)``3MnO_4^{2-} + 4H^+ \longrightarrow`` ``2MnO_4^- + MnO_2 + 2H_2O``
(c)\begin{aligned}
& \ce{$2KMnO_4 $ ->[\ce{\triangle}] $K_2MnO_4 + MnO_2 + 0_2$}
\end{aligned}
(d)``2MnO_4 ^- + 3Mn^{2+} + 2H_2O \longrightarrow`` ``5MnO_2 + 4H^+``
Select the correct option from the following
(1) (a) and (b) only
(2) (a), (b) and (c)
(3) (a), (c) and (d)
(4) (a) and (d) only
Ans. ( 1 )
Sol. (a)
+
+
1
1
2Cu
+
+ +
2 0
2( ) 0
Cu Cu } Disproportionation
(b)
+
++
6
2( ) ( )
43MnO 4H
+ +
+ +
7 4
4 2 2
2MnO MnO 2H O}Disproportionation
(c)
+ +
▵ +
7 6
2
4 2 4
2KMnO K MnO
+
+ ∴
4 0
2 2
MnO O } Not a disproportionation
(d)
+ +
++ +
7 2
2( )
4 22MnO 3Mn 2H O
+
+
4
2
5MnO 4H }
14
51. Under isothermal condition, a gas at 300 K
expands from 0.1 L to 0.25 L against a
constant external pressure of 2 bar. The work
done by the gas is
(Given that 1 L bar = 100 J)
(1) -30 J (2) 5 kJ
(3) 25 J (4) 30 J
Ans. ( 1 )
Sol. ∴ W
irr
= - P
ext
▵V
= - 2 bar × (0.25 - 0.1) L
= - 2 × 0.15 L-bar
= - 0.30 L-bar
= - 0.30 × 100 J
= - 30 J
52. Among the following, the one that is not a
green house gas is
(1) Nitrous oxide (2) Methane
(3) Ozone (4) Sulphur dioxide
Ans. ( 4 )
Sol. Fact
SO
2
(g) is not a greenhouse gas.
53. For the cell reaction
``2Fe^{3+}(aq) + 2I^- (aq) ````\longrightarrow`` ``2Fe^{2+}(aq) + I_2 (aq) ``
``E_{CELL}^\circleddash ``= 0.24 V at 298 K. The standard Gibbs
energy (``\triangle_rG^\circleddash ``)of the cell reaction is :
[Given that Faraday constant F = 96500 C `` mol^{-1}``]
(1) - 46.32 kJ `` mol^{-1}`` (2) - 23.16 kJ `` mol^{-1}``
(3) 46.32 kJ `` mol^{-1}`` (4) 23.16 kJ `` mol^{-1}``
Ans. ( 1 )
Sol.
Θ Θ▵
cell
G = nF E
= - 2 × 96500 × 0.24 J mol-1
= - 46320 J mol-1
= - 46.32 kJ mol-1
54. Enzymes that utilize ATP in phosphate transfer
require an alkaline earth metal (M) as the
cofactor. M is :
(1) Be (2) Mg
(3) Ca (4) Sr
Ans. ( 2 )
Sol. All enzymes that utilize ATP in phosphate
transfer require magnesium(Mg) as the
co-factor.
55. The most suitable reagent for the following
conversion, is :

(1) Na/liquid ``NH_3``
(2) ``H_2``, Pd/C, quinoline
(3) Zn/HCl
(4) ``Hg^{2+}/H^+, H_2O``
Ans. ( 2 )
Sol. H C C C CH3 3
CH
3
H
H C
3
H
cis-2-butene
H , Pd/C,2
quinoline
C C
56. Which is the correct thermal stability order
for ``H_2E ``(E = O, S, Se, Te and Po)?
(1)`` H_2S < H_2O < H_2Se < H_2Te < H_2Po``
(2)`` H_2O < H_2S < H_2Se < H_2Te < H_2Po``
(3)`` H_2Po < H_2Te < H_2Se < H_2S < H_2O``
(4) ``H_2Se < H_2Te < H_2Po < H_2O < H_2S``
Ans. ( 3 )
Sol. On going down the group thermal stability
order for H
2
E decreases because H-E bond
energy decreases
∴ Order of stability would be:-
H
2
Po < H
2
Te < H
2
Se < H
2
S < H
2
O
57. Which of the following is incorrect statement?
(1)`` PbF_4`` is covalent in nature
(2) ``SiCl_4`` is easily hydrolysed
(3) ``GeX_4``(X = F, Cl, Br, I) is more stable than
``GeX_2``
(4)`` SnF_4`` is ionic in nature.
Ans. ( 1 )
Sol. PbF
4
and SnF
4
are ionic in nature.
58. Match the following :
(a ) Pure nitrogen (i) Chlorine
(b) Haber process (ii) Sulphuric acid
(c) Contact process (iii) Ammonia
(d) Deacon’s process (iv) Sodium azide or Barium azide
Which of the following is the correct option?
(a ) (b) (c) (d)
(1) (i) (ii) (iii) (iv)
(2) (ii) (iv) (i) (iii)
(3) (iii) (iv) (ii) (i)
(4) (iv) (iii) (ii) (i)
Ans. ( 4 )
Sol. (a) Pure nitrogen : Sodium azide or
Barium azide
(b) Haber process : Ammonia
(c) Contact process : Sulphuric acid
(d) Deacon’s process : Chlorine
59. Which of the following diatomic molecular
species has only ``\PI`` bonds according to
Molecular Orbital Theory?
(1) ``O_2``
(2)`` N_2``
(3)`` C_2``
(4) ``Be_2``
Ans. ( 3 )
Sol. MO configuration C
2
is:
1s2, *1s2, 2s2, *2s2, = 2 2x y2p 2p
60. For the second period elements the correct
increasing order of first ionisation enthalpy is:
(1) Li < Be < B < C < N < O < F < Ne
(2) Li < B < Be < C < O < N < F < Ne
(3) Li < B < Be < C < N < O < F < Ne
(4) Li < Be < B < C < O < N < F < Ne
Ans. ( 2 )
Sol. ‘Be’ and ‘N’ have comparatively more stable
valence sub-shell than ‘B’ and ‘O’.
∴ Correct order of first ionisation enthalpy
is:
Li < B < Be < C < O < N < F < Ne
61. The biodegradable polymer is:
(1) Nylon-6,6 (2) Nylon-2-Nylon 6
(3) Nylon-6 (4) Buna-S
Ans. ( 2 )
Sol. Nylon-2-Nylon 6
62. pH of a saturated solution of ``Ca(OH)_2``
is 9. The
solubility product ``(K_{
sp}) `` of ``Ca(OH)_2`` is:
(1)`` 0.5 × 10^{-15 }
(2) ``0.25 × 10^{-10}``
(3)`` 0.125 × 10^{-15}``
(4)`` 0.5 × 10^{-10}``
Ans. ( 1 )
Sol. + +⇀↽ 22Ca(OH) Ca 2OH
pH = 9 Hence pOH = 14 - 9 = 5
[OH-] = 10-5 M
Hence [Ca2+] =
5
10
2
Thus K
sp
= [Ca2+][OH-]2
=
5
5 210 (10 )
2
= 0.5 × 10-15
63. If the rate constant for a first order reaction
is k, the time (t) required for the completion
of 99% of the reaction is given by:
(1) t = 0.693/k
(2) t = 6.909/k
(3) t = 4.606/k
(4) t = 2.303/k
Ans. ( 3 )
Sol. First order rate constant is given as,
= 0
t
[A ]2.303
k log
t [A]
99% completed reaction,
= 2.303 100k log
t 1
= 22.303 log10
t
= 2.303k 2log10
t
= =2.303 4.606t 2
k k
= 4.606t
k
64. The non-essential amino acid among the
following is:
(1) Valine
(2) Leucine
(3) Alanine
(4) Lysine
Ans. ( 3 )
Sol. Alanine
16
65. Among the following, the reaction that
proceeds through an electrophilic
substitution, is:
(1)

(2)

(3)

(4)

Ans. ( 2 )
Sol.
Cl
+ Cl
2
AlCl3
+ HCl
Generation of electrophile:
Cl Cl
..
.. .
.
+ AlCl3 Cl Cl AlCl3
+ -
Cl
..
...
. +
AlCl
4
+
-
Electrophile
(i)
+
Cl
+
etc
Cl H
(ii)
+
Cl H
Cl
66. The mixture that forms maximum boiling
azeotrope is:
(1) Water + Nitric acid
(2) Ethanol + Water
(3) Acetone + Carbon disulphide
(4) Heptane + Octane
Ans. ( 1 )
Sol.
Answers showing negative deviation from
Raoult's law form maximum boiling azeotrope
Water and Nitric acid forms maximum
boiling azeotrope
67. For the chemical reaction

The correct option is:
(1)

(2)

(3)

(4)

Ans. ( 1 )
Sol. + ⇀↽2 2 3N 3H 2NH
Rate of reaction is given as
= = + 32 2
d[NH ]d[N ] d[H ]1 1
dt 3 dt 2 dt
68. The number of moles of hydrogen molecules
required to produce 20 moles of ammonia
through Haber's process is :
(1) 10
(2) 20
(3) 30
(4) 40
Ans. ( 3 )
Sol. Haber's process
+
2 2 3
N (g) 3H (g) 2NH (g)
20 moles need to be produced
2 moles of NH
3
3 moles of H
2
Hence 20 moles of
=
3
3 20
NH 30
2
moles of H
217
69. The compound that is most difficult
to protonate is :
(1)

(2)

(3)

(4)

Ans. ( 4 )
Sol. Due to involvement of lone pair of electrons in
resonance in phenol, it will have positive
charge (partial), hence incoming proton will
not be able to attack easily.
70. For an ideal solution, the correct option is :
(1) ``\triangle_{mix}``S = 0 at constant T and P
(2) ``\triangle_{mix}``V ``\neq ``0 at constant T and P
(3)``\triangle_{mix}``H = 0 at constant T and P
(4)``\triangle_{mix}``G = 0 at constant T and P
Ans. ( 3 )
Sol. For ideal solution,
▵
mix
H = 0
▵
mix
S > 0
▵
mix
G < 0
▵
mix
V = 0
71. Conjugate base for ``Br\ddot{o}nsted`` acids
``H_2O`` and HF are :
(1)

(2)

(3)

(4)

Ans. ( 3 )
Sol. H O2
H O Conjugate acid
3
+
OH Conjugate base
-
HF on loss of H
+
ion becomes F
-
is the
conjugate base of HF
Example :
HF + H O
2
Acid Base
F + H O
3
+-
Conjugate
base
Conjugate
acid
72. Which mixture of the solutions will lead to the
formation of negatively charged colloidal
``[AgI]I^– `` sol ?
(1) 50 mL of 1 M ``AgNO_3`` + 50 mL of 1.5 M KI
(2) 50 mL of 1 M ``AgNO_3`` + 50 mL of 2 M KI
(3) 50 mL of 2 M ``AgNO_3`` + 50 mL of 1.5 M KI
(4) 50 mL of 0.1 M ``AgNO_3`` + 50 mL of 0.1 M KI
Ans. ( 2 )
Sol. Generally charge present on the colloid is due
to adsorption of common ion from dispersion
medium. Millimole of KI is maximum in
option (2) (50 × 2 = 100) so act as solvent and
anion I- is adsorbed by the colloid AgI formed
73. Among the following, the narrow spectrum
antibiotic is :
(1) Penicillin G
(2) Ampicillin
(3) Amoxycillin
(4) Chloramphenicol
Ans. ( 1 )
Sol. Penicillin G
74. An alkene "A" on reaction with ``O_3``
and ``Zn-H_2O``
gives propanone and ethanal in equimolar
ratio. Addition of HCl to alkene "A" gives "B"
as the major product. The structure of
product "B" is:
(1)

(2)

(3)

(4)

Ans. ( 3 )
18
Sol.
75. What is the correct electronic configuration
of the central atom in ``K_4[Fe(CN)_6] ``based on
crystal field theory?
(1)``t_{2g}^4`` ``e_g^2``
(2)``t_{2g}^6`` ``e_g^0``
(3) ``e^3`` ``t_{2}^3``
(4)``e^4`` ``t_{2}^2``
Ans. ( 2 )
Sol. K
4
[Fe(CN)
6
]
Fe ground state: [Ar]3d64s2
Fe2+: 3d64s0
Energy
eg
t2g
In
Spherical
field
6 0
2g gt e
Fe
2+
In the presence of
6CN strong field
-
76. Identify the incorrect statement related to
``PCl_5`` from the following:
(1) Three equatorial P-Cl bonds make an
angle of 120° with each other
(2) Two axial P-Cl bonds make an angle of
180° with each other
(3) Axial P-Cl bonds are longer than
equatorial P-Cl bonds
(4) ``PCl_5``
molecule is non-reactive
Ans. ( 4 )
Sol. P
Cl
Cl
Cl
Cl
Cl
120°
202 pm
90°
240 pm
Equatorial bond
Axial bond
(1) True
(2) True P 180°
Cl
Cl
(3) True
Axial bond : 240 pm
Equatorial bond : 202 pm
(4) False
Due to longer and hence weaker axial
bonds, PCl
5
is a reactive molecule.
77. Which will make basic buffer?
(1) 50 mL of 0.1 M NaOH + 25 mL of 0.1 M ``CH_3COOH``
(2) 100 mL of 0.1 M ``CH_3COOH`` + 100 mL of 0.1 M NaOH
(3) 100 mL of 0.1 M HCl + 200 mL of 0.1 M ``NH_4OH``
(4) 100 mL of 0.1 M HCl + 100 mL of 0.1 M NaOH
Ans. ( 3 )
Sol.
(1) + +
3 3 2
CH COOH NaOH CH COONa H O
Before 25 mL 50 mL
0
× 0.1M× 0.1 M
= 2.5 mmol = 5 mmol
After 0 2.5 mmol 2.5 mmol
This is basic solution due to NaOH.
This is not basic buffer.
(2) + +
= =
3 3 2
CH COOH NaOH CH COONa H O
Before 100 mL 100 mL
0
× 0.1 M × 0.1 M
10 mmol 10mmol
After 0 0 10 mmol
Hydrolysis of salt takes place.
This is not basic buffer.19
(3) + +
= =
4 4 2
HCl NH OH NH Cl H O
Before 100 mL 200 mL
0
× 0.1 M × 0.1 M
10 mmol 20 mmol
After 0 10 mmol 10 mmol
This is basic buffer
(4)
+ +
= =
2
HCl NaOH NaCl H O
100 mL 100 mLBefore
0
× 0.1 M × 0.1 M
10 mmol 10 mmol
After 0 0 10 mmol
&implies; Neutral solution
78. The major product of the following
reaction is:

(1)

(2)

(3)

(4)

Ans. ( 4 )
Sol.
COOH
COOH
+ NH
3
COO NH
- +
4
COO NH
- +
4
CONH
2
CONH
2
- 2H O
2
▵
- NH
3
Strong heating
Phthalimide
NH
C
C
O
O
79. Match the Xenon compounds in Column-I
with its structure in Column-II and assign the
correct code:
Column-I Column-II
(a )`` XeF_4`` (i) Pyramidal
(b) ``XeF_6`` (ii) Square planar
(c) ``XeOF_4`` (iii) Distorted octahedral
(d) ``XeO_3`` (iv) Square pyramidal
Code:
( a ) (b) ( c ) (d)
(1) (i) (ii) (iii) (iv)
(2) (ii) (iii) (iv) (i)
(3) (ii) (iii) (i) (iv)
(4) (iii) (iv) (i) (ii)
Ans. ( 2 )
Sol. (a) XeF
4
: Xe
F
FF
F
&implies; Square planar
(b) XeF
6
: Xe
F
F
F
FF
F
&implies; Distorted
octahedral
(c) XeOF
4
: Xe
F
FF
F
O
&implies; Square
pyramidal
(d) XeO
3
:
Xe O
O
O
&implies;Pyramidal
80. The manganate and permanganate ions are
tetrahedral, due to :
(1) The ``\pi``-bonding involves overlap of
p-orbitals of oxygen with d-orbitals of
manganese
(2) There is no ``\pi``-bonding
(3) The ``\pi``-bonding involves overlap of
p-orbitals of oxygen with p-orbitals of
manganese
(4) The ``\pi``-bonding involves overlap of
d-orbitals of oxygen with d-orbitals of
manganese
Ans. ( 1 )
20
Sol. • Manganate (MnO
4
2-) : Mn
O
O
-
O
O
-
&implies; -bonds are of d-p type
• Permanganate (MnO
4
-) : Mn
O
O
-
O
O
&implies; -bonds are of d-p type
81. Which of the following species is not stable?
(1) ``[SiF_6]^{2-}``
(2) ``[GeCl_6]^{2-}``
(3) ``[Sn(OH)_6]^{2-}``
(4) ``[SiCl_6]^{2-}``
Ans. ( 4 )
Sol. • Due to presence of d-orbital in Si, Ge and
Sn they form species like SiF
6
2-, [GeCl
6
]2-,
[Sn(OH)
6
]2-
• SiCl
6
2- does not exist because six large
chloride ions cannot be accommodated
around Si4+ due to limitation of its size.
82. For a cell involving one electron ``E°_{cell}``= 0.59 V
at 298 K, the equilibrium constant for the cell
reaction is :[Given that ``\frac{2.303 RT}{F}``=0.059V at T = 298 K.
(1) ``1.0 × 10^2``
(2) ``1.0 × 10^5``
(3) ``1.0 × 10^{10}``
(4) ``1.0 × 10^{30}``
Ans. ( 3 )
Sol.
E
cell
= E°
cell
-
0.059
log Q
n
...(i)
(At equilibrium, Q = K
eq
and E
cell
= 0)
0 = E°
cell
- eq
0.059
logK
1
(from equation (i))
cell
eq
E° 0.59
logK = = = 10
0.059 0.059
K
eq
= 1010 = 1 × 1010
83. Which of the following is an amphoteric
hydroxide?
(1) ``Sr(OH)_2``
(2)`` Ca(OH)_2``
(3) ``Mg(OH)_2``
(4) ``Be(OH)_2``
Ans. ( 4 )
Sol. Be(OH)
2
amphoteric in nature, since it can
react both with acid and base
Be(OH)
2
+ 2HCl BeCl
2
+ 2H
2
O
Be(OH)
2
+ 2NaOH Na
2
[Be(OH)
4
]
84. A gas at 350 K and 15 bar has molar volume
20 percent smaller than that for an ideal gas
under the same conditions. The correct
option about the gas and its compressibility
factor (Z) is :
(1) Z > 1 and attractive forces are dominant
(2) Z > 1 and repulsive forces are dominant
(3) Z < 1 and attractive forces are dominant
(4) Z < 1 and repulsive forces are dominant
Ans. ( 3 )
Sol. • Compressibility factor(Z) = real
ideal
V
V
∵ V
real
< V
ideal
; Hence Z < 1
• If Z < 1, attractive forces are dominant
among gaseous molecules and
liquefaction of gas will be easy.
85. A compound is formed by cation C and
anion A. The anions form hexagonal close
packed (hcp) lattice and the cations occupy
75% of octahedral voids. The formula of the
compound is :
(1)``C_2A_3``
(2)``C_3A_2``
(3) ``C_3A_4``
(4) ``C_4A_3``
Ans. ( 3 )21
Sol. • Anions(A) are in hcp, so number of anions
(A) = 6
Cations(C) are in 75% O.V., so number of
cations (C)
=
3
6×
4
=
18
4
=
9
2
• So formula of compound will be
&implies;
9 6 9 12
2
C A C A
C
9
A
12
&implies; C
3
A
4
86. In which case change in entropy is negative?
(1) Evaporation of water
(2) Expansion of a gas at constant
temperature
(3) Sublimation of solid to gas
(4) 2H(g) ``\longrightarrow `` ``H_2``(g)
Ans. ( 4 )
Sol. • ▵ ⇀↽2 2H O H O , S 0v
• Expansion of gas at constant
temperature, ▵S > 0
• Sublimation of solid to gas, ▵S > 0
• 2H(g) H
2
(g), ▵S < 0 (∵▵n
g
< 0)
87. Which of the following series of transitions in
the spectrum of hydrogen atom fall in visible
region?
(1) Lyman series
(2) Balmer series
(3) Paschen series
(4) Brackett series
Ans. ( 2 )
Sol. In H-spectrum, Balmer series transitions fall
in visible region.
88. The method used to remove temporary
hardness of water is :
(1) Calgon's method
(2) Clark's method
(3) Ion-exchange method
(4) Synthetic resins method
Ans. ( 2 )
Sol. Clark's method is used to remove temporary
hardness of water, in which bicarbonates of
calcium and magnesium are reacted with
slaked lime Ca(OH)
2
Ca(HCO
3
)
2
+ Ca(OH)
2
2CaCO
3
+ 2H
2
O
Mg(HCO
3
)
2
+ 2Ca(OH)
2
2CaCO
3
+ Mg(OH)
2
+ 2H
2
O
89. Which one is malachite from the following?
(1)`` CuFeS_2``
(2) ``Cu(OH)_2``
(3)`` Fe_3O_4``
(4) ``CuCO_3 .Cu(OH)_2``
Ans. ( 4 )
Sol. Malachite : CuCO
3
.Cu(OH)
2
(Green colour)
90. The correct order of the basic strength of
methyl substituted amines in aqueous solution
is :
(1) ``(CH_3)_2NH > CH_3NH_2 > (CH_3)_3N``
(2) ``(CH_3)_3N > CH_3NH_2 > (CH_3)_2NH``
(3) ``(CH_3)_3N > (CH_3)_2NH > CH_3NH_2``
(4) ``CH_3NH_2 > (CH_3)_2NH > (CH_3)_3N``
Ans. ( 1 )
Sol. In aqueous solution, electron donating
inductive effect, solvation effect (H-bonding)
and steric hindrance all together affect basic
strength of substituted amines
Basic character :
(CH
3
)
2
NH > CH
3
NH
2
> (CH
3
)
3
N
2° 1° 3°
22
91. The Earth Summit held in Rio de Janeiro in
1992 was called
(1) To reduce ``CO_2 ``emissions and global
warming
(2) for conservation of biodiversity and
sustainable utilization of its benefits
(3) to assess threat posed to native species
by invasive weed species
(4) for immediate steps to discontinue use of
CFCs that were damaging the ozone layer
Ans. ( 2 )
Sol. Earth Summit (Rio Summit)-1992, called upon
all nations to take appropriate measures for
conservation of biodiversity and sustainable
utilisation of its benefits
92. Colostrum the yellowish fluid, secreted by
mother during the initial days of lactation is
very essential to impart immunity to the new
born infants because it contains
(1) Natural killer cells
(2) Monocytes
(3) Macrophages
(4) Immunoglobulin A
Ans. ( 4 )
Sol. Colostrum, the yellowish fluid secreted by the
mother during initial days of lactation is very
essential to impart immunity to the new born
infant because it contains Immunoglobulin A.
It will impart naturally acquired passive
immunity to the newborn
93. Grass leaves curl inwards during very dry
weather. Select the most appropriate reason
from the following
(1) Closure of stomata
(2) Flaccidity of bulliform cells
(3) Shrinkage of air spaces in spongy
mesophyll
(4) Tyloses in vessels
Ans. ( 2 )
Sol. Bulliform cells become flaccid due to water
loss. This will make the leaves to curl inward
to minimise water loss
94. The shorter and longer arms of a
submetacentric chromosome are
referred to as
(1) s-arm and l-arm respectively
(2) p-arm and q-arm respectively
(3) q-arm and p-arm respectively
(4) m-arm and n-arm respectively
Ans. ( 2 )
Sol. • Sub metacentric chromosome is
Heterobrachial.
• Short arm designated as 'p' arm
(p = petite i.e. short)
• Long arm designated as 'q' arm
95. Respiratory Quotient (RQ) value of
tripalmitin is -
(1) 0.9
(2) 0.7
(3) 0.07
(4) 0.09
Ans. ( 2 )
Sol.
2
2
Amount of CO released
Respiratory Quotient
Amount of O consumedRQ
=
2(C
51
H
98
O
6
) + 145O
2
102CO
2
+ 98H
2
O
Tripalmitin + Energy
2
2
102 CO
RQ 0.7
145 O
= =
96. Which of the following is a commercial blood
cholesterol lowering agent?
(1) Cyclosporin A
(2) Statin
(3) Streptokinase
(4) Lipases
Ans. ( 2 )
Sol. • Statin is obtained from a yeast (Fungi)
called Monascus purpureus
• It acts by competitively inhibiting the
enzyme responsible for synthesis of
cholesterol.23
97. Match the following structures with their
respective location in organs
(a ) Crypts of Lieberkuhn (i) Pancreas
(b) Glisson's Capsule (ii) Duodenum
(c) Islets of Langerhans (iii) Small intestine
(d) Brunner's Glands (iv) Liver
Select the correct option from the following
(a ) (b) (c) (d)
(1) (iii) (i) (ii) (iv)
(2) (ii) (iv) (i) (iii)
(3) (iii) (iv) (i) (ii)
(4) (iii) (ii) (i) (iv)
Ans. ( 3 )
Sol. Crypts of Lieberkuhn are present in small
intestine. Glisson's capsule is present in liver.
Islets of langerhans constitutes the endocrine
portion of pancreas. Brunner's glands are
found in submucosa of duodenum.
98. Which of the following is the most important
cause for animals and plants being driven to
extinction?
(1) Habitat loss and fragmentation
(2) Drought and floods
(3) Economic exploitation
(4) Alien species invasion
Ans. ( 1 )
Sol. Habitat loss and fragmentation is the most
important cause driving animals and plants to
extinction.
eg: Loss of tropical rainforest reducing the
forest cover from 14 % to 6 %.
99. Which part of the brain is responsible for
thermoregulation?
(1) Cerebrum
(2) Hypothalamus
(3) Corpus callosum
(4) Medulla oblongata
Ans. ( 2 )
Sol. Hypothalamus in the thermoregulatory centre
of our brain. It is responsible for maintaining
constant body temperature.
100. Consider following features
(a ) Organ system level of organisation
(b) Bilateral symmetry
(c) True coelomates with segmentation of body.
Select the correct option of animal groups
which possess all the above characteristics
(1) Annelida, Arthropoda and Chordata
(2) Annelida, Arthropoda and Mollusca
(3) Arthropoda, Mollusca and Chordata
(4) Annelida, Mollusca and Chordata
Ans. ( 1 )
Sol. True segmentation is present in Annelida,
Arthropoda and Chordata. They also have
organ system level of organisation, bilateral
symmetry and are true coelomates
101. Select the correct sequence of organs in the
alimentary canal of cockroach starting from
mouth
(1) Pharynx ``\rightarrow`` Oesophagus ``\rightarrow`` Crop ``\rightarrow`` Gizzard
``\rightarrow`` Ileum ``\rightarrow`` Colon ``\rightarrow`` Rectum
(2) Pharynx ``\rightarrow`` Oesophagus ``\rightarrow`` Gizzard ``\rightarrow`` Crop
``\rightarrow`` Ileum ``\rightarrow`` Colon ``\rightarrow`` Rectum
(3) Pharynx ``\rightarrow`` Oesophagus ``\rightarrow`` Gizzard ``\rightarrow``
Ileum ``\rightarrow`` Crop ``\rightarrow`` Colon ``\rightarrow`` Rectum
(4) Pharynx ``\rightarrow`` Oesophagus ``\rightarrow`` Ileum ``\rightarrow`` Crop
``\rightarrow`` Gizzard ``\rightarrow`` Colon ``\rightarrow`` Rectum
Ans. ( 1 )
Sol. The correct sequence of organs in the
alimentary canal of cockroach starting from
mouth is :
Pharynx Oesophagus Crop Gizzard
Ileum Colon Rectum
102. Which of the following pairs of gases is mainly
responsible for green house effect?
(1) Ozone and Ammonia
(2) Oxygen and Nitrogen
(3) Nitrogen and Sulphur dioxide
(4) Carbon dioxide and Methane
Ans. ( 4 )
Sol. Relative contribution of various greenhouse
gases to total global warming is
• CO
2
= 60%
• CH
4
= 20%
24
• CFC = 14%
• N
2
O = 6%
&implies; Therefore CO
2
and CH
4
are the major
greenhouse gases
103. Which of the following muscular
disorders is inherited?
(1) Tetany
(2) Muscular dystrophy
(3) Myasthenia gravis
(4) Botulism
Ans. ( 2 )
Sol. Progressive degeneration of skeletal muscle
mostly due to genetic disorder is muscular
dystrophy where as tetany is muscular spasm
due to low calcium in body fluid. Myasthenia
gravis is an anto immume disorder leading to
paralysis of skeletal muscles. Botulism is rare
and dangerous type of food poisoning caused
by bacterium Clostridium Botulinum.
104. The ciliated epithelial cells are required to
move particles or mucus in a specific
direction. In humans, these cells are mainly
present in
(1) Bile duct and Bronchioles
(2) Fallopian tubes and Pancreatic duct
(3) Eustachian tube and Salivary duct
(4) Bronchioles and Fallopian tubes
Ans. ( 4 )
Sol. Bronchioles and Fallopian tubes are lined with
ciliated epithelium to move particles or mucus
in a specific direction.
105. Match the Column-I with Column-II
Column-I Column-II
(a ) P - wave (i) Depolarisation of ventricles
(b) QRS complex (ii) Repolarisation of ventricles
(c) T - wave (iii) Coronary ischemia
(d) Reduction in the (iv) Depolarisation of size of T-wave atria
(v) Repolarisation ofatria
Select the correct option.
( a ) (b) ( c ) (d)
(1) (iv) (i) (ii) (iii)
(2) (iv) (i) (ii) (v)
(3) (ii) (i) (v) (iii)
(4) (ii) (iii) (v) (iv)
Ans. ( 1 )
Sol. In ECG P-wave represents depolarisation of
atria. QRS complex represents depolarisation
of ventricles. T-wave represents
repolarisation of ventricle i.e. return from
excited to normal state. Reduction in the size
of T-wave i.e. if the T-wave represents
insufficient supply of oxygen i.e. coronary
ischaemia.
106. Which one of the following is not a method of
in situ conservation of biodiversity?
(1) Biosphere Reserve
(2) Wildlife Sanctuary
(3) Botanical Garden
(4) Sacred Grove
Ans. ( 3 )
Sol. Botanical garden - ex - situ conservation (off-
site conservation) i.e. living plants (flora) are
conserved in human managed system.
107. In a species, the weight of newborn ranges
from 2 to 5 kg. 97% of the newborn with an
average weight between 3 to 3.3 kg survive
whereas 99% of the infants born with weight
from 2 to 2.5 kg or 4.5 to 5 kg die. Which type
of selection process is taking place?
(1) Directional Selection
(2) Stabilizing Selection
(3) Disruptive Selection
(4) Cyclical Selection
Ans. ( 2 )
Sol. The given data shows stabilising selection as
most of the newborn having average weight
between 3 to 3.3 kg survive and babies with
less and more weight have low survival rate.
108. The correct sequence of phases of cell cycle
is
(1) M ``\rightarrow`` ``G_1`` ``\rightarrow`` ``G_2`` ``\rightarrow`` S
(2) ``G_1`` ``\rightarrow`` ``G_2`` ``\rightarrow`` S ``\rightarrow`` M
(3) S ``\rightarrow`` ``G_1````\rightarrow````G_2`` ``\rightarrow`` M
(4) ``G_1`` ``\rightarrow`` S ``\rightarrow`` ``G_2`` ``\rightarrow`` M
Ans. ( 4 )
Sol. The correct sequence of phases of cell cycle is
G
1
S G
2
M
109. How does steroid hormone influence the
cellular activities?
(1) Changing the permeability of the cell
membrane
(2) Binding to DNA and forming a gene-
hormone complex
(3) Activating cyclic AMP located on the cell
membrane
(4) Using aquaporin channels as second
messenger
Ans. ( 2 )
Sol. Steroid hormones directly enter into the cell
and bind with intracellular receptors in
nucleus to form hormone receptor complex.
Hormone receptor complex interacts with the
genome
110. Which of the following statements is not
correct?
(1) Lysosomes have numerous hydrolytic
enzymes
(2) The hydrolytic enzymes of lysosomes are
active under acidic pH
(3) Lysosomes are membrane bound
structures
(4) Lysosomes are formed by the process of
packaging in the endoplasmic reticulum
Ans. ( 4 )
Sol. Lysosomes bud off from trans face of Golgi
bodies.
Precursor of lysosomal enzymes are
synthesised by RER and then send to Golgi
bodies for further processing.
111. Which one of the following statements
regarding post-fertilization development in
flowering plants is incorrect?
(1) Ovary develops into fruit
(2) Zygote develops into embryo
(3) Central cell develops into endosperm
(4) Ovules develop into embryo sac
Ans. ( 4 )
Sol. Following are the post-fertilisation changes.
• Ovule Seed
• Ovary Fruit
• Zygote Embryo
• Central cell Endosperm
112. Concanavalin A is
(1) an alkaloid
(2) an essential oil
(3) a lectin
(4) a pigment
Ans. ( 3 )
Sol. Concanavalin A is a secondary metabolite e.g
is lectin, it has the property to agglutinates
RBCs.
113. Which one of the following equipments is
essentially required for growing microbes on
a large scale, for industrial production of
enzymes?
(1) BOD incubator
(2) Sludge digester
(3) Industrial oven
(4) Bioreactor
Ans. ( 4 )
S o l . To produce enzyme in large quantity
equipment required are bioreactors. Large
scale production involves use of
bioreactors.
114. Consider the following statement :
(A) Coenzyme or metal ion that is tightly
bound to enzyme protein is called
prosthetic group.
(B) A complete catalytic active enzyme with
its bound prosthetic group is called
apoenzyme.
Select the correct option.
(1) Both (A) and (B) are true.
(2) (A) is true but (B) is false.
(3) Both (A) and (B) are false.
(4) (A) is false but (B) is true.
Ans. ( 2 )
Sol. Coenzyme or metal ion that is tightly bound to
enzyme protein is called prosthetic group. A
complete catalytic active enzyme with its
bound prosthetic group is called holoenzyme.
26
115. Purines found both in DNA and RNA are
(1) Adenine and thymine
(2) Adenine and guanine
(3) Guanine and cytosine
(4) Cytosine and thymine
Ans. ( 2 )
Sol. Purines found both in DNA and RNA are
Adenine and guanine
116. Select the correct sequence for transport of
sperm cells in male reproductive system.
(1) Testis ``\rightarrow`` Epididymis ``\rightarrow`` Vasa efferentia ``\rightarrow``
Rete testis ``\rightarrow`` Inguinal canal ``\rightarrow`` Urethra
(2) Seminiferous tubules ``\rightarrow`` Rete testis ``\rightarrow``
Vasa efferentia ``\rightarrow`` Epididymis ``\rightarrow`` Vas
deferens ``\rightarrow`` Ejaculatory duct ``\rightarrow`` Urethra ``\rightarrow``
Urethral meatus
(3) Seminiferous tubules ``\rightarrow`` Vasa efferentia ``\rightarrow``
Epididymis ``\rightarrow`` Inguinal canal ``\rightarrow`` Urethra
(4) Testis ``\rightarrow`` Epididymis ``\rightarrow`` Vasa efferentia ``\rightarrow``
Vas deferens ``\rightarrow`` Ejaculatory duct ``\rightarrow``
Inguinal canal ``\rightarrow`` Urethra ``\rightarrow`` Urethral meatus
Ans. ( 2 )
Sol. The correct sequence for transport of sperm
cells in male reproductive system is
Seminiferous tubules Rete testis Vasa
efferentia Epididymis Vas deferens
Ejaculatory duct Urethra Urethral
meatus
117. Match the hominids with their correct brain
size :
(a ) Homo habilis (i) 900 cc
(b) Homo neanderthalensis (ii) 1350 cc
(c) Homo erectus (iii) 650-800 cc
(d) Homo sapiens (iv) 1400 cc
Select the correct option.
(a ) (b) (c) (d)
(1) (iii) (i) (iv) (ii)
(2) (iii) (ii) (i) (iv)
(3) (iii) (iv) (i) (ii)
(4) (iv) (iii) (i) (ii)
Ans. ( 3 )
Sol. The correct match of hominids and their brain
sizes are :
Homo habilis — 650-800 cc
Homo neanderthalensis — 1400 cc
Homo erectus — 900 cc
Homo sapiens — 1350 cc
118. Variations caused by mutation, as proposed by
Hugo de Vries are
(1) random and directional
(2) random and directionless
(3) small and directional
(4) small and directionless
Ans. ( 2 )
Sol. According to Hugo de Vries, mutations are
random and directionless.
Devries believed mutation caused speciation
and hence called saltation (single step large
mutation).
119. Which of the following pair of organelles does
not contain DNA?
(1) Mitochondria and Lysosomes
(2) Chloroplast and Vacuoles
(3) Lysosomes and Vacuoles
(4) Nuclear envelope and Mitochondria
Ans. ( 3 )
Sol. Lysosomes and Vacuoles do not have DNA.
120. Due to increasing air-borne allergens and
pollutants, many people in urban areas are
suffering from respiratory disorder causing
wheezing due to
(1) benign growth on mucous lining of nasal cavity
(2) inflammation of bronchi and bronchioles
(3) proliferation of fibrous tissues and
damage of the alveolar walls
(4) reduction in the secretion of surfactants
by pneumocytes.
Ans. ( 2 )
Sol. Asthma is a difficulty in breathing causing
wheezing due to inflammation of bronchi and
bronchioles. It can be due to increasing air
born allergens and pollutants. Asthma is an
allergic condition. Many people in urban areas
are suffering from this respiratory disorder.27
121. Select the incorrect statement.
(1) Male fruit fly is heterogametic
(2) In male grasshoppers 50% of sperms have
no sex-chromosome
(3) In domesticated fowls, sex of progeny
depends on the type of sperm rather than
egg
(4) Human males have one of their sex-
chromosome much shorter than the other
Ans. ( 3 )
Sol. In birds female heterogamety is found thus sex
of progeny depends on the types of egg rather
than the type of sperm.
Birds
(fowls)
sperm = A + Z type (100%)
eggs A + Z (50%)
A + W (50%)
eg.
122. DNA precipitation out of a mixture of
biomolecules can be achieved by treatment
with
(1) Isopropanol
(2) Chilled ethanol
(3) Methanol at room temperature
(4) Chilled chloroform
Ans. ( 2 )
Sol. During the isolation of desired gene, chilled
ethanol is used for the precipitation of DNA.
123. Select the correct group of biocontrol
agents.
(1) Bacillus thuringiensis, Tobacco mosaic
virus, Aphids
(2) Trichoderma, Baculovirus, Bacillus
thuringiensis
(3) Oscillatoria, Rhizobium, Trichoderma
(4) Nostoc, Azospirillium, Nucleopolyhedrovirus
Ans. ( 2 )
Sol. Fungs Trichoderma, Baculoviruses (NPV) and
Bacillus thuringiensis are used as biocontrol
agents.
Rhizobium, Nostoc, Azospirillum and
Oscillatoria are used as biofertilisers,
whereas TMV is a pathogen and aphids are
pests that harm crop plants.
124. Select the incorrect statement.
(1) Inbreeding increases homozygosity
(2) Inbreeding is essential to evolve purelines
in any animal.
(3) Inbreeding selects harmful recessive
genes that reduce fertility and productivity
(4) Inbreeding helps in accumulation of
superior genes and elimination of
undesirable genes
Ans. ( 3 )
Sol. Inbreeding exposes harmful recessive genes
that are eliminated by selection. It also helps
in accumulation of superior genes and
elimination of less desirable genes. Therefore
this is selection at each step, increase the
productivity of inbred population. Close and
continued inbreeding usually reduces fertility
and even productivity.
125. Match the following organisms with the
products they produce
(a ) Lactobacillus (i) Cheese
(b) Saccharomyces (ii) Curd cerevisiae
(c) Aspergillus niger (iii) Citric Acid
(d) Acetobacter aceti (iv) Bread
(v) Acetic Acid
Select the correct option.
(a ) (b) (c) (d)
(1) (ii) (iv) (v) (iii)
(2) (ii) (iv) (iii) (v)
(3) (iii) (iv) (v) (i)
(4) (ii) (i) (iii) (v)
Ans. ( 2 )
Sol. Microbes are used in production of several
household and industrial products -
Lactobacillus - Production of curd
Saccharomyces cerevisiae - Bread making
Aspergillus niger - Citric acid production
Acetobacter aceti - Acetic acid
126. What is the direction of movement of sugars
in phloem?
(1) Non-multidirectional
(2) Upward
(3) Downward
(4) Bi-directional
Ans. ( 4 )
Sol. The direction of movement of sugar in phloem
is bi-directional as it depends on source-sink
relationship which is variable in plants.
127. In some plants, the female gamete develops
into embryo without fertilization. This
phenomenon is known as
(1) Autogamy
(2) Parthenocarpy
(3) Syngamy
(4) Parthenogenesis
Ans. ( 4 )
Sol. The phenomenon in which female gamete
develops into embryo without getting fused
with male gamete (fertilisation) is called
parthenogenesis.
128. Persistent nucellus in the seed is known as
(1) Chalaza
(2) Perisperm
(3) Hilum
(4) Tegmen
Ans. ( 2 )
Sol. Persistent Nucellus is called Perisperm
e.g.: Black pepper, Beet
129. What map unit (Centimorgan) is adopted in the
construction of genetic maps?
(1) A unit of distance between two expressed
genes representing 10% cross over.
(2) A unit of distance between two expressed
genes representing 100% cross over.
(3) A unit of distance between genes on
chromosomes, representing 1% cross
over.
(4) A unit of distance between genes on
chromosomes, representing 50% cross
over.
Ans. ( 3 )
Sol. 1 map unit represent 1 % cross over.
Map unit is used to measure genetic distance.
This genetic distance is based on average
number of cross over frequency.
130. What would be the heart rate of a person if
the cardiac output is 5 L, blood volume in the
ventricles at the end of diastole is 100 mL and
at the end of ventricular systole is 50 mL?
(1) 50 beats per minute
(2) 75 beats per minute
(3) 100 beats per minute
(4) 125 beats per minute
Ans. (3)
Sol. Cardiac output = stroke volume × Heart rate
&implies; Cardiac output = 5L or 5000 ml
&implies; Blood volume in ventricles at the end of
diastole = 100 ml
&implies; Blood volume in ventricles at the end of
systole = 50 ml
Stroke volume = 100 - 50
= 50 ml.
So,
5000 ml = 50 ml × Heart rate
So, Heart rate = 100 beats per minute.
131. Thiobacillus is a group of bacteria helpful in
carrying out
(1) Nitrogen fixation
(2) Chemoautotrophic fixation
(3) Nitrification
(4) Denitrification
Ans. ( 4 )
Sol. Thiobacillus denitrificans cause denitrification
i.e., conversion of oxides of nitrogen to free
N
2
.
132. Which of the following factors is responsible
for the formation of concentrated urine?
(1) Low levels of antidiuretic hormone
(2) Maintaining hyperosmolarity towards
inner medullary interstitium in the kidneys.
(3) Secretion of erythropoietin by
Juxtaglomerular complex
(4) Hydrostatic pressure during glomerular
filtration
Ans. (2)
Sol. The proximity between loop of henle and vasa
recta as well as counter current in them help
in maintaining an increasing osmolalrity
towards the inner medullary interstitium. This
mechanism help to maintain a concentration
gradient in medullary interstitium so human
urine is nearly four times concentrated than
initial filtrate formed.
133. Which of the following statements regarding
mitochondria is incorrect?
(1) Outer membrane is permeable to
monomers of carbohydrates, fats and
proteins.
(2) Enzymes of electron transport are
embedded in outer membrane.
(3) Inner membrane is convoluted with
infoldings.
(4) Mitochondrial matrix contains single
circular DNA molecule and ribosomes.
Ans. (2)
Sol. In mitochondria, enzymes for electron
transport are present in the inner membrane.
134. Xylem translocates.
(1) Water only
(2) Water and mineral salts only
(3) Water, mineral salts and some organic
nitrogen only
(4) Water, mineral salts, some organic
nitrogen and hormones
Ans. (4)
Sol. Xylem is associated with tanslocation of
mainly water, mineral salts, some organic
nitrogen and hormones.
135. Cell in ``G_0`` phase :
(1) exit the cell cycle
(2) enter the cell cycle
(3) suspend the cell cycle
(4) terminate the cell cycle
Ans. (1)
Sol. Cells in G
0
phase are said to exit cell cycle.
These are at quiescent stage and do not
proliferate unless called upon to do so.
136. Which of the statements given below is not
true about formation of Annual Rings in trees?
(1) Annual ring is a combination of spring
wood and autumn wood produced in a year.
(2) Differential activity of cambium causes
light and dark bands of tissue early and
late wood respectively.
(3) Activity of cambium depends upon
variation in climate.
(4) Annual rings are not prominent in trees of
temperate region.
Ans. (4)
Sol. Growth rings are formed by the seasonal
activity of cambium. In plants of temperate
regions, cambium is more active in spring and
less active in autumn seasons. In temperate
regions climatic conditions are not uniform
throughout the year. However in tropics
climatic conditions are uniform throughout
the year.
137. Which of the following ecological pyramids is
generally inverted?
(1) Pyramid of numbers in grassland
(2) Pyramid of energy
(3) Pyramid of biomass in a forest
(4) Pyramid of biomass in a sea
Ans. ( 4 )
Sol. In an aquatic ecosystem, the pyramid of
biomass is generally inverted.
TC = Large fishes
SC = Small fishes
PC = Zooplanktons
PP = Phytoplanktons
138. Placentation in which ovules develop on the
inner wall of the ovary or in peripheral part, is
(1) Basal
(2) Axile
(3) Parietal
(4) Free central
Ans. ( 3 )
Sol. In parietal placentation the ovules develop on
the inner wall of ovary or in peripheral part.
eg. Mustard, Argemone etc.
30
139. Which of the following protocols did aim for
reducing emission of chlorofluorocarbons into
the atmosphere?
(1) Montreal Protocol
(2) Kyoto Protocol
(3) Gothenburg Protocol
(4) Geneva Protocol
Ans. ( 1 )
Sol. To control the deleterious effect of the
stratospheric ozone depletion an
international treaty was signed at Montreal,
Canada in 1987. It is popularly known as
Montreal protocol.
140. Which of the following contraceptive methods
do involve a role of hormone?
(1) Lactational amenorrhea, Pills Emergency
contraceptives.
(2) Barrier method, Lactational amenorrhea,
Pills.
(3) CuT, Pills, Emergency contraceptives.
(4) Pills, Emergency contraceptives, Barrier
methods.
Ans. ( 1 )
Sol. In lactational amenorrhoea, due to high
prolactin level, gonadotropin level
decreases.
Oral pills are either progestogens or
progestogen-estrogen combinations used
by the females.
Emergency contraceptives includes the
administration of progestogens or
progestogen-estrogen combination or
IUDs within 72 hour of coitus.
So, lactational amenorrhoea, oral pills and
emergency contraceptives involve a role of
hormone.
141. Tidal Volume and Expiratory Reserve Volume
of an athlete is 500 mL and 1000 mL,
respectively. What will be his Expiratory
Capacity if the Residual Volume is 1200 mL?
(1) 1500 mL
(2) 1700 mL
(3) 2200 mL
(4) 2700 mL
Ans. ( 1 )
Sol. Tidal Volume = 500 ml
Expiratory Reserve Volume = 1000 ml
Expiratory Capacity = TV + ERV
= 500 + 1000
= 1500 ml
142. What is the fate of the male gametes
discharged in the synergid?
(1) One fuses with egg other(s) degenerate
(s) in the synergid.
(2) All fuse with the egg.
(3) One fuses with the egg, other(s) fuse(s)
with synergid nucleus.
(4) One fuses with the egg and other fuses
with central cell nuclei.
Ans. ( 4 )
Sol. In flowering plants, out of the two male
gametes discharged in synergids, one fuses
with the egg and other fuses with the
secondary or definitive nucleus present in
central cell.
Egg (n) + 1st male gamete (n) Zygote (2n)
+ nd
(2n)
(central cellnuclei)
Secondary nucleus 2 male gamete (n)
PEN (3n)
143. What is the site of perception of photoperiod
necessary for induction of flowering in
plants?
(1) Lateral buds
(2) Pulvinus
(3) Shoot apex
(4) Leaves
Ans. ( 4 )
Sol. During flowering, photoperiodic stimulus is
perceived by leaves of plants.
144. Select the correctly written scientific name of
Mango which was first described by Carolus Linnaeus
(1) Mangifera indica Car. Linn.
(2) Mangifera indica Linn.
(3) Mangifera indica
(4) Mangifera Indica
Ans. ( 2 )
Sol. According to rules of binomial nomenclature,
correctly written scientific name of mango is
Mangifera indica Linn.31
145. Following statements describe the
characteristics of the enzyme Restriction
Endonuclease. Identify the incorrect
statement.
(1) The enzyme cuts DNA molecule at
identified position within the DNA.
(2) The enzyme binds DNA at specific sites
and cuts only one of the two strands.
(3) The enzyme cuts the sugar-phosphate
backbone at specific sites on each strand.
(4) The enzyme recognizes a specific
palindromic nucleotide sequence in the
DNA.
Ans. ( 2 )
Sol. Restriction enzymes cut DNA molecules at a
particular point by recognising a specific
sequence. Each restriction endonuclease
functions by inspecting the length of a DNA
sequence. Once it finds its specific
recognition sequence, it will bind to the DNA
and cut each of the two strands of the double
helix at specific points in their sugar-
phosphate backbone.
146. From evolutionary point of view, retention of
the female gametophyte with developing
young embryo on the parent sporophyte for
some time, is first observed in
(1) Liverworts
(2) Mosses
(3) Pteridophytes
(4) Gymnosperms
Ans. ( 3 )
Sol. In Pteridophyte, megaspore is retained for
some times in female gametophyte, however
the permanent retention is required for seed
formation in Gymnosperms.
That's why Pteridophytes exhibit precursor to
seed habit only.
147. In Antirrhinum (Snapdragon), a red flower
was crossed with a white flower and in ``F_1`` generation pink flowers were obtained. When
pink flowers were selfed, the ``F_2``
generationshowed white, red and pink flowers. Choose
the incorrect statement from the following :
(1) This experiment does not follow the
Principle of Dominance.
(2) Pink colour in ``F_1`` is due to incomplete
dominance.
(3) Ratio of ``F_2``
is ``\frac14`` (Red) : ``\frac24``(Pink) : ``\frac14`` (White)
(4) Law of Segregation does not apply in this
experiment
Ans. ( 4 )
Sol. Genes for flower colour in snapdragon shows
incomplete dominance which is an exception
of Mendel's first principle i.e. Law of
dominance.
Whereas Law of segregation is universally
applicable.
148. Conversion of glucose to glucose-6-phosphate,
the first irreversible reaction of glycolysis, is
catalyzed by
(1) Aldolase
(2) Hexokinase
(3) Enolase
(4) Phosphofructokinase
Ans. ( 2 )
Sol. Hexokinase catalyse the conversion of
Glucose to Glucose-6 phosphate. It is the first
step of activation phase of glycolysis.
149. Drug called ‘Heroin’ is synthesized by
(1) methylation of morphine
(2) acetylation of morphine
(3) glycosylation of morphine
(4) nitration of morphine
Ans. ( 2 )
Sol. Heroin, commonly called smack and is
chemically diacetylmorphine which is
synthesized by acetylation of morphine.
150. Select the hormone-releasing Intra-Uterine
Devices.
(1) Vaults, LNG-20
(2) Multiload 375, Progestasert
(3) Progestasert, LNG-20
(4) Lippes Loop, Multiload 375
Ans. ( 3 )
Sol. Progestasert and LNG-20 are hormone
releasing IUDs which make the uterus
32
unsuitable for implantation and the cervix
hostile to sperms.
151. A gene locus has two alleles A, a. If the
frequency of dominant allele A is 0.4, then
what will be the frequency of homozygous
dominant, heterozygous and homozygous
recessive individuals in the population?
(1) 0.36(AA); 0.48(Aa); 0.16(aa)
(2) 0.16(AA); 0.24(Aa); 0.36(aa)
(3) 0.16(AA); 0.48(Aa); 0.36(aa)
(4) 0.16(AA); 0.36(Aa); 0.48(aa)
Ans. ( 3 )
Sol. Frequency of dominant allele (say p) = 0.4
Frequency of recessive allele (say q)
= 1 - 0.4 = 0.6
∴ Frequency of homozygous dominant
individuals (AA)
= p2 = (0.4)2 = 0.16
Frequency of heterozygous individuals (Aa)
= 2pq = 2(0.4)(0.6) = 0.48
Frequency of homozygous recessive
individuals (aa)
= q2 = (0.6)2 = 0.36
152. Which of the following is true for Golden
rice?
(1) It is Vitamin A enriched, with a gene from
daffodil
(2) It is pest resistant, with a gene from
Bacillus thuringiensis
(3) It is drought tolerant, developed using
Agrobacterium vector
(4) It has yellow grains, because of a gene
introduced from a primitive variety of rice
Ans. ( 1 )
Sol. Golden rice is vitamin A enriched rice, with a
gene from daffodil and is rich in carotene.
153. Pinus seed cannot germinate and established
without fungal association. This is because :
(1) its embryo is immature.
(2) it has obligate association with
mycorrhizae.
(3) it has very hard seed coat.
(4) its seeds contain inhibitors that present
germination.
Ans. ( 2 )
Sol. Fungus associated with roots of Pinus
increases minerals & water absorption for
the plant by increasing surface area and in
turn fungus gets food from plant. Therefore,
mycorrhizal association is obligatory for Pinus
seed germination
154. Which of the following features of genetic
code does allow bacteria to produce human
insulin by recombinant DNA technology?
(1) Genetic code is not ambiguous
(2) Genetic code is redundant
(3) Genetic code is nearly universal
(4) Genetic code is specific
Ans. ( 3 )
Sol. In recombinant DNA technology bacteria is
able to produce human insulin because
genetic code is nearly universal.
155. Which of the following sexually transmitted
diseases is not completely curable?
(1) Gonorrhoea
(2) Genital warts
(3) Genital herpes
(4) Chlamydiasis
Ans. ( 3 )
Sol. Genital herpes is caused by type-II-herpes
simplex virus. At present there is no cure for
type-II-herpes simplex virus and therefore the
disease caused, genital herpes. Other non-
curable STIs are hepatitis-B and HIV.
156. Which of the following statements is
incorrect?
(1) Viroids lack a protein coat.
(2) Viruses are obligate parasites.
(3) Infective constituent in viruses is the
protein coat.
(4) Prions consist of abnormally folded
proteins.
Ans. ( 3 )
Sol. Infective constituent in viruses is either DNA
or RNA, not protein.33
157. Match the following organisms with their
respective characteristics :
(a ) Pila (i) Flame cells
(b) Bombyx (ii) Comb plates
(c) Pleurobrachia (iii) Radula
(d) Taenia (iv) Malpighian tubules
Select the correct option from the following :
( a ) (b) (c) (d)
(1) (iii) (ii) (i) (iv)
(2) (iii) (iv) (ii) (i)
(3) (ii) (iv) (iii) (i)
(4) (iii) (ii) (iv) (i)
Ans. ( 2 )
Sol. (a) Pila is a Mollusc. The mouth contains a file
- like rasping organ for feeding called
radula.
(b) Bombyx is an Arthropod. In Bombyx
excretion takes place through malpighan
tubules.
(c) Pleurobrachia is Ctenophore. The body
bears eight external rows of ciliated comb
plates, which help in locomotion.
(d) Taenia is a platyhelminth specialised cells
called flame cells helps in osmoregulation
and excretion
158. Expressed Sequence Tags (ESTs) refers to :
(1) Genes expressed as RNA
(2) Polypeptide expression
(3) DNA polymorphism
(4) Novel DNA sequences
Ans. ( 1 )
Sol. Expressed Sequence Tags (ESTs) are DNA
sequences (genes) that are expressed as
mRNA for protein synthesis. These are used in
human Genome Project.
159. Which is of the following statements is
incorrect?
(1) Morels and truffles are edible delicacies.
(2) Claviceps is a source of many alkaloids
and LSD.
(3) Conidia are produced exogenously and
ascospores endogenously.
(4) Yeasts have filamentous bodies with long
thread-like hyphae.
Ans. ( 4 )
Sol. Yeast is an unicellular sac fungus. It lacks
filamentous structure or hyphae.
160. Match Column - I with Column - II
Column- I Column - II
(a ) Saprophyte (i) Symbiotic association of fungi with plant roots
(b) Parasite (ii) Decomposition of dead organic materials
(c) Lichens (iii) Living on living plants or animals
(d) Mycorrhiza ( iv) Symbiotic association of algae and fungi
Choose the correct Ans. from the option
given below
(a ) (b) (c) (d)
(1) (i) (ii) (iii) (iv)
(2) (iii) (ii) (i) (iv)
(3) (ii) (i) (iii) (iv)
(4) (ii) (iii) (iv) ( i)
Ans. ( 4 )
Sol. Saprophytes - Decomposition of dead
organic materials
Parasites - Grow on/in living plants and
animals
Lichens - Symbiotic association of
algae and fungi
Mycorrhiza - Symbiotic association of fungi
with plant roots
161. Which of the following glucose transporters is
insulin-dependent?
(1) GLUT I
(2) GLUT II
(3) GLUT III
(4) GLUT IV
Ans. ( 4 )
Sol. GLUT-IV is insulin dependent and is
responsible for majority of glucose transport
into muscle and adipose cells in anabolic
conditions. Whereas GLUT-I is insulin
independent and is widely distributed in
different tissues.
34
162. Which of the following immune responses is
responsible for rejection of kidney graft?
(1) Auto-immune response
(2) Humoral immune response
(3) Inflammatory immune response
(4) Cell-mediated immune response
Ans. ( 4 )
Sol. The body is able to differentiate self and
nonself and the cell-mediated response is
responsible for graft rejection.
163. Use of an artificial kidney during hemodialysis
may result in :
(a ) Nitrogenous waste build-up in the body
(b) Non-elimination of excess potassium ions
(c) Reduced absorption of calcium ions from
gastro-intestinal tract
(d) Reduced RBC production
Which of the following options is the most
appropriate?
(1) (a) and (b) are correct
(2) (b) and (c) are correct
(3) (c) and (d) are correct
(4) (a) and (d) are correct
Ans. ( 3 )
Sol. a and b statements are incorrect because
dialysis eliminates urea and potassium from
the body whereas, c and d are correct. As
phosphate ions are eliminated during dialysis,
along with that calcium ions are also
eliminated. So, there will be reduced
absorption of calcium ions from
gastrointestinal tract. RBC production will be
reduced, due to reduced erythropoietin
hormone.
164. Which of the following statements is
correct?
(1) Cornea is an external, transparent and
protective proteinacious covering of the
eye-ball.
(2) Cornea consists of dense connective
tissue of elastin and can repair itself.
(3) Cornea is convex, transparent layer which
is highly vascularised.
(4) Cornea consists of dense matrix of
collagen and is the most sensitive portion
the eye.
Ans. ( 4 )
Sol. Cornea consists of dense matrix of collagen
and corneal epithelium. It is the most
sensitive part of eye.
165. The frequency of recombination between
gene pairs on the same chromosome as a
measure of the distance between genes was
explained by :
(1) T.H. Morgan
(2) Gregor J. Mendel
(3) Alfred Sturtevant
(4) Sutton Boveri
Ans. ( 3 )
Sol. Alfred Sturtevant explained chromosomal
mapping on the basis of recombination
frequency which is directly proportional to
distance between two genes on same
chromosome
166. Match the following genes of the Lac operon
with their respective products :
(a ) i gene (i) θ-galactosidase
(b) z gene (ii) Permease
(c) a gene (iii) Repressor
(d) y gene (iv) Transacetylase
Select the correct option.
(a ) (b) (c) (d)
(1) (i) (iii) (ii) (iv)
(2) (iii) (i) (ii) (iv)
(3) (iii) (i) (iv) (ii)
(4) (iii) (iv) (i) (ii)
Ans. ( 3 )
Sol. In lac operon
i gene Repressor
z gene θ-galactosidase
y gene Permease
a gene Transacetylase
167. It takes very long time for pineapple plants
to produce flowers. Which combination of
hormones can be applied to artificially induce
flowering in pineapple plants throughout the
year to increase yield?
(1) Auxin and Ethylene
(2) Gibberellin and Cytokinin
(3) Gibberellin and Abscisic acid
(4) Cytokinin and Abscisic acid
Ans. ( 1 )
Sol. Plant hormone auxin induces flowering in
pineapple. Ethylene also helps in
synchronization of flowering and fruit set up
in pineapple.
168. Identify the cells whose secretion protects the
lining of gastro-intestinal tract from various
enzymes.
(1) Chief Cells
(2) Goblet Cells
(3) Oxyntic Cells
(4) Duodenal Cells
Ans. ( 2 )
Sol. Goblet cells secrete mucus and bicarbonates
present in the gastric juice which plays an
important role in lubrication and protection of
the mucosal epithelium from excoriation by
the highly concentrated HCl.
169. Which of the following can be used as a
biocontrol agent in the treatment of plant
disease?
(1) Trichoderma
(2) Chlorella
(3) Anabaena
(4) Lactobacillus
Ans. ( 1 )
Sol. Fungus Trichoderma is a biological control
agent being developed for use in the
treatment of plant diseases.
170. Phloem in gymnosperms lacks :
(1) Albuminous cells and sieve cells
(2) Sieve tubes only
(3) Companion cells only
(4) Both sieve tubes and companion cells
Ans. ( 4 )
Sol. Phloem in Gymnosperms lacks both sieve
tube and companion cells.
171. Extrusion of second polar body from egg
nucleus occurs :
(1) after entry of sperm but before fertilization
(2) after fertilization
(3) before entry of sperm into ovum
(4) simultaneously with first cleavage
Ans. ( 1 )
Sol. Extrusion of second polar body from egg
nucleus occurs after entry of sperm but
before fertilization.
The entry of sperm into the ovum induces
completion of the meiotic division of the
secondary oocyte.
Entry of sperm causes breakdown of
metaphase promoting factor (MPF) and turns
on anaphase promoting complex (APC).
172. Under which of the following conditions will
there be no change in the reading frame of
following mRNA?
5'AACAGCGGUGCUAUU3'
(1) Insertion of G at 5th position
(2) Deletion of G from 5th position
(3) Insertion of A and G at 4th and 5th positions
respectively
(4) Deletion of GGU from 7th, 8th and 9th
positions
Ans. ( 4 )
Sol.
A CA A G C G G U G C U A U U
A CA A G C G C U A U U
5' 3'
5' 3'
Deletion
m-RNA -
No change in reading frame of m-RNA.
173. The concept of “Omnis cellula-e cellula”
regarding cell division was first proposed by
(1) Rudolf Virchow
(2) Theodor Schwann
(3) Schleiden
(4) Aristotle
Ans. ( 1 )
Sol. Concept of “Omnis cellula-e cellula” regarding
cell division was proposed by Rudolph
Virchow.
174. What triggers activation of protoxin to active
Bt toxin of Bacillus thuringiensis in boll
worm?
(1) Body temperature
(2) Moist surface of midgut
(3) Alkaline pH of gut
(4) Acidic pH of stomach
Ans. ( 3 )
Sol. Bacillus thuringiensis forms protein crystals
during a particular phase of their growth.
These crystals contain a toxic insecticidal
protein. These protein exist as inactive
protoxins but once an insect ingest the
inactive toxin, it is converted into an active
form of toxin due to alkaline pH of the gut
which solubilize the crystals. The activated
toxin binds to the surface of midgut epithelial
cells and create pores that cause cell
swelling and lysis and eventually cause death
of insect.
175. Identify the correct pair representing the
causative agent of typhoid fever and the
confirmatory test for typhoid.
(1) Plasmodium vivax / UTI test
(2) Streptococcus pneumoniae / Widal test
(3) Salmonella typhi / Anthrone test
(4) Salmonella typhi / Widal test
Ans. ( 4 )
Sol. Salmonella typhi is the causative agent.
Confirmatory test = Widal test, it’s based on
antigen antibody reaction.
176. What is the genetic disorder in which an
individual has an overall masculine
development gynaecomastia, and is sterile ?
(1) Turner's syndrome
(2) Klinefelter's syndrome
(3) Edward syndrome
(4) Down's syndrome
Ans. ( 2 )
Sol. Individuals with Klinefelter’s syndrome have
trisomy of sex chromosome as 44 + XXY (47).
They show overall masculine development,
gynaecomastia and are sterile.
177. Polyblend, a fine powder of recycled modified
plastic, has proved to be a good material for
(1) Making plastic sacks
(2) Use as a fertilizer
(3) Construction of roads
(4) Making tubes and pipes
Ans. ( 3 )
Sol. Polyblend is a fine powder of recycled
modified plastic waste. The mixture is mixed
with bitumen that is used to lay roads
178. Which of these following methods is the most
suitable for disposal of nuclear waste?
(1) Shoot the waste into space
(2) Bury the waste under Antarctic ice-cover
(3) Dump the waste within rocks under deep
ocean
(4) Bury the waste within rocks deep below
the Earth's surface
Ans. ( 4 )
Sol. Storage of nuclear waste should be done in
suitably shielded containers and buried within
rocks deep below the earth's surface (500 m
deep)
179. Match the following hormones with the
respective disease
(a ) Insulin (i) Addison's disease
(b) Thyroxin (ii) Diabetes insipidus
(c) Corticoids (iii) Acromegaly
(d) Growth Hormone (iv) Goitre
(v) Diabetes mellitus
Select the correct option.
(a ) (b) (c) (d)
(1) (v) (i) (ii) (iii)
(2) (ii) (iv) (iii) (i)
(3) (v) (iv) (i) (iii)
(4) (ii) (iv) (i) (iii)
Ans. ( 3 )
Sol. • Insulin deficiency leads to diabetes
mellitus
• Hypersecretion or hyposecretion of
thyroxine can be associated with
enlargement of thyroid gland called goitre
• Deficiency of corticoids (Glucocorticoid +
mineralocorticoid) leads to Addison's
disease
• Growth hormone hypersecretion in adults
leads to Acromegaly37
180. Select the correct option.
(1) 8th, 9th and 10th pairs of ribs articulate
directly with the sternum.
(2) 11th and 12th pairs of ribs are connected to
the sternum with the help of hyaline
cartilage.
(3) Each rib is a flat thin bone and all the ribs
are connected dorsally to the thoracic
vertebrae and ventrally to the sternum.
(4) There are seven pairs of vertebrosternal,
three pairs of vertebrochondral and two
pairs of vertebral ribs.
Ans. ( 4 )
Sol. • Vertebrosternal ribs are true ribs, dorsally
they are attached to the thoracic
vertebrae and ventrally connected to the
sternum with the help of hyaline cartilage.
First seven pairs of ribs are called true
ribs.
• 8th, 9th and 10th pairs of ribs do not
articulate directly with the sternum but
join the seventh ribs with the help of
hyaline cartilage. These are
vertebrochondral or false ribs.
• Last 2 pairs (11 & 12) of ribs are not
connected ventrally and are therefore,
called floating ribs.
• Only first seven pairs of ribs are ventrally
connected to the sternum.